服務熱線
13889943666










全國服務熱線
電動數顯洛氏硬度計使用說明書
一.概述
硬度是材料機械性能的一個重要指標。它指的是一種材料所能抵抗另一種本身不發生殘余變形物體的壓入能力。在機械性能試驗中,洛氏硬度試驗是最簡單、最迅捷、最經濟的方法之一。因為它可以直接指示硬度值,所以試驗效率最高。在很多情況下,可以完成其他機械性能所不能完成的工作。目前隨著我國科研和工業的迅速發展,洛氏硬度試驗方法已被廣泛應用在國防、科研、實驗室和工廠車間。

圖1洛氏硬度計試驗原理
二、洛氏硬度計的使用范圍
試驗時應按下表選用壓頭和總試驗力。
A標尺:用于測定硬度超過70HRC 的金屬(如碳化鎢、硬質合金等),也可測定硬的薄板材料以及表面層淬硬的材料。
C標尺:用于測定經過熱處理的鋼制品硬度。
B標尺:用于測定較軟的或中等硬度的金屬以及未經淬硬的鋼制品。
三、主要技術參數
1.初試驗力·································98.07N(10kgf)
2.總試驗力········588.4N(60kgf) 980.7N(100kgf)1471N(150kgf)
3.指示器刻度··························C:0—100;B:30—130
4.試件最大高度······················200mm、
5.壓痕中心至機壁的距離···························135mm
6.硬度計外形尺寸·······················510×230×730mm
工作電壓·····································220V/50HZ
7.硬度計凈重·······································75kg
四.硬度計試驗原理
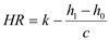
洛氏硬度的測定,是以頂角為120°的金剛石圓錐體或直徑為Φ1.588㎜的淬火鋼球作壓頭,以規定的試驗力使其壓入試樣表面。試驗時,先加初試驗力,然后加主試驗力。壓入試樣表面之后卸除主試驗力,在保留初試驗力的情況下,根據試樣表面總試驗力作用下的壓入深度和在初試驗力作用下的壓入深度之差,確定被測金屬材料的洛氏值。以表示洛氏硬度的高低,深度越大硬度值越低。測量的深度0.002mm為1個洛氏單位。洛氏硬度符號用HR表示,并注以所用標尺A、B、C等。如HRA、HRB、HRC等。
計算公式為:
式中:c---常數,等于0.002mm;
K-常數,A、C標尺為100.B標尺為130.
在實際使用中材料的硬度可以從洛氏專用表上的標尺直接讀出。
五、機構性能簡述
本硬度計由機身、加荷機構、測量指示機構及試件支持機構等部分組成機身為一封閉的殼體,除工作臺、絲杠、變荷手柄露出外,其它機構均裝置在機身殼體內,便于保持清潔。加荷機構由主軸、杠桿、砝碼、電動升降機構、砝碼變換機構、控制電路等組成。 初試驗力主要由主軸、壓頭、圓形刀子、長棱形刀子、大杠桿、小杠桿、頂桿、等零件的重量以及指示器的測量壓力產生,當試件與壓頭接觸并繼續上升,當大、小杠桿處于水平位置時(指示器小指針指于紅點處,大指針垂直向上),由于杠桿等的重量以及指示器的測量壓力,壓頭即可受到98.07N(10kgf)的初試驗力。總試驗力由主試驗力(由砝碼的重量產生)加上初試驗力組成。在電動升降機構頂端上設有梅花頂桿,梅花頂桿上放有三個砝碼與吊環,當按下面板上的啟動按鈕時梅花頂桿、與吊環砝碼也隨同下降,當吊環在下降過程中被裝于大杠桿尾端之小刀子托住時,主試驗力便通過大杠桿穩定地作用在壓頭上。于是砝碼與吊環的重量便作用在大杠桿上,使壓頭處受總試驗力的作用。機身內裝有砝碼變換器,當轉動變荷手把至不同位置時,便可得到所需要的1471N(150Kgf)、980.7N(100Kgf)或588.4N(60KGf)三種不同的總試驗力。通過調整面板上的↑↓箭頭可調節試驗力保持時間,當試樣硬度較低時適當延長保持時間。試樣保持時間一般在2-6S較合適。嚴禁將保持時間設置成0秒,此時硬度計程序會失控。當保持時間結束后,電動升降機構自動旋轉卸除主試驗力。測量指示機構由頂桿、小杠桿、調整板、調整螺釘及指示器等零件組成。當上升試件壓頭被頂起時,頂桿便頂起小杠桿經調整螺釘帶動指示器的指針旋轉。
試件支持機構包括工作臺、絲杠、手輪等零件。
六、硬度計的安裝方法
1.拆箱
① 打開包裝箱頂蓋及四周擋板后,拆除機身底部4個固定螺釘,便可將硬度計安放在干燥清潔和沒有腐蝕性氣體以及周圍無振動的房間里。安裝硬度計的臺子應堅固,并做出直徑大于Ф50毫米的孔,以備絲杠通過。
② 按裝箱單檢查備附件的完整性。
?、?打開機上蓋及后蓋。
?、?松開杠桿尾端杠桿固定螺釘。
?、?拿掉大杠桿固定壓塊及固定支承塊。
⑥ 松開螺母卸掉鉤頭螺釘取下砝碼固定壓板。
?、?用手捏住吊環向上緩緩提起砝碼組并同時將砝碼固定支撐塊取出,然后,再將砝碼組輕輕放下,使砝碼圓柱銷落入托板的溝槽中,將砝碼托住。
?、?解開小杠桿緊固線繩。
?、?轉動手輪使絲杠下降,取出壓頭墊塊。
2.卸下絲杠保護套,用煤油將出廠時涂于絲杠、手輪等處的防銹油洗凈,然后澆入少量潤滑油于絲杠與手輪接觸處,并重新將絲杠保護套裝好。
3.檢查大杠桿上的調整塊的位置,是否處于兩個紅色標記之間,否則應將其重新裝入正確位置。
4.把大平工作臺裝在絲杠上端,再將水平儀放在工作臺臺面上,調整,使硬度計的水平度在0.2/1000之內。
七、操作使用方法

圖2電動洛氏控制面板
1.硬度計試驗前的準備工作:
?、試驗力的選擇,轉動變荷手把使所選用的試驗力對準紅點,但必須注意變換試驗力時,必須置于卸荷狀態。
?、安裝壓頭:安裝壓頭時應注意消除壓頭與主軸端面的間隙。消除方法是:裝上壓頭,并用螺釘輕輕固定,然后將標準塊或試件放置于工作臺上,旋轉手輪加上初試驗力,按下啟動鍵使主試驗力加于壓頭上,再將螺釘松開、擰緊,即可消除壓頭與主軸端面間的間隙。(注調整時試驗力保持時間適當調長些)
2、試驗程序(電動表型請參考附頁:數顯表頭的使用):
?、賹⒔z杠頂面及被選用的工作臺上下端面擦干凈,將工作臺置于絲杠上。
②將試件支撐面擦干凈,放置于工作臺上,旋轉手輪使工作臺緩慢上升,并頂起壓頭,到小指針指著紅點,大指針旋轉三圈垂直向上為止(允許相差±5個刻度,若超過5個刻度,此點應作廢,重新試驗)。
?、坌D指示器外殼,使 C、B之間長刻線(即零點)與大指針對正(順時針或逆時針旋轉均可)。
④按下面板上的啟動按鈕,施加主試驗力,這時指示器的大指針按逆時針方向轉動。
?、莓斒┘由现髟囼灹筮M入試驗力保持狀態,數碼管倒計時,計時結束后卸除主試驗力。
⑥從指示器上相應的標尺讀數:采用金剛石壓頭試驗時,按表盤外圈的黑字讀取,采用球壓頭試驗時,按表盤內圈的紅字讀取。
?、咿D動手輪使試件下降,再移動試件,按以上②~⑥過程進行新的試驗。
?、嘟z杠保護套是為了保護絲杠不受灰塵侵襲而設置的。硬度計不使用時或試件高度小于100毫米時,將其套在絲杠外面。當試件高度大于100毫米時,將其套在絲杠外面。當試件高度大于100毫米時,必須將其拿掉,以免將工作臺頂起,使試驗無效。
八、洛氏硬度計的保養和維修
1.硬度計長時間不用時,應用防塵罩將機器蓋好。
2.定期在絲杠)與手輪的接觸注入少量機油。
3.硬度計使用前,應將絲杠頂面和工作臺上端面擦凈。
4.如發現硬度示值誤差較大。①可拿下工作臺,檢查其與絲杠接觸面是否清潔。②檢查絲杠保護套是否頂起工作臺。③檢查壓頭是否損壞。
5.如接通電源,面板無顯示應檢查保險絲是否融斷、電源是否正常。
6.用本機攜帶的標準硬度塊定期檢查硬度計精度。
①將工作臺及標準硬度塊擦凈,在硬度塊工作面進行試驗,決不允許在支撐面試驗。
?、谌羰局嫡`差較大,除按本節第四項檢查外,檢查標準硬度塊支承面是否有毛刺,若有毛刺應用油石打光。
③在標準硬度塊不同位置試驗時,硬度塊應在工作臺上拖動,不應拿離工作臺。
以上是電動數顯洛氏硬度計的使用說明書。如您需要其它硬度計的使用說明書請聯系佛山精測儀器客服免費索取,電話微信:13889943666
福 利:如果您想更新、淘汰公司儀器設備,我公司還提供“以舊換新 高價回收”服務

精測公眾號
精測公眾號